欢迎访问科研与学科建设部/人文社科办/军工质量办/高等教育研究所!
科技处
网站首页
您现在所在的位置: 网站首页 >> 学术科研 >> 正文

南华大学李振业团队在Advanced Materials发表重要研究成果:基于单层MnPS3纳米片辅助增强激子扩散和电荷传输制造膜厚不敏感型有机太阳电池

发布日期 :2025-09-01 09:39      点击:作者:

南华大学李振业团队在Advanced Materials发表重要研究成果:基于单层MnPS3纳米片辅助增强激子扩散和电荷传输制造膜厚不敏感型有机太阳电池


近日,南华大学机械工程学院李振业教授团队在材料科学领域顶级期刊Advanced Materials(影响因子26.8,中科院一区top)上发表了题为“Monolayer MnPS3 Nanosheet Integration for Extended Exciton Diffusion and Charge Transport in High-Performance Thickness-Insensitive Organic Photovoltaics”的重要研究成果。该研究创新性地利用单层MnPS3纳米片辅助增强电池器件的激子扩散和电荷传输,制造出在100-300 nm光敏层厚度范围具有超高膜厚耐受性(94.3%)的有机太阳电池,对推动有机太阳电池实现大规模卷对卷生产具有重要的科学价值。李振业教授为论文独立第一作者、其指导的硕士研究生周如进为论文第二作者,李振业、曾德乾和赖寒健为论文共同通讯作者,南华大学机械工程学院为论文第一署名单位。

有机太阳电池具有轻质、柔性、低成本和透明等特性,在建筑物表面、野外便携式设备(能源自给式帐篷与单兵作战等军用移动设施)的全方位能源供应中具有重要的应用前景。最近实验室规模下有机太阳电池的功率转换效率已超过20%,具备便携式能源(例如军用能源)的开发价值,进入产业化应用的前期阶段。随着有机太阳电池进入产业化应用的前期阶段,如何实现当前有机太阳电池实验室规模加工技术向工业规模“卷对卷”印刷加工技术的转换成为重点关注的问题。通常,为了满足有机太阳电池“卷对卷”印刷大规模生产的要求,光敏层厚度必须达到≥300 nm量级。由于给/受体载流子迁移率较低,当前实验室规模高效有机太阳电池光敏层的最优厚度通常被限制在80-120 nm,增加光敏层厚度会加剧空间电荷积累、增强载流子复合,从而导致有机太阳电池的功率转换效率显著下降。

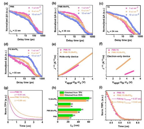
为突破这一厚度-效率制约的根本性难题,本研究通过液相剥离法制备单层MnPS3纳米片,借助多模态表征证实其可有效扩展激子扩散距离并提升面外电荷迁移率。单层MnPS3纳米片辅助作用下基于PM6:Y6体系的有机太阳电池实现了19.53%(100 nm厚度)和18.41%(300 nm厚度)的破纪录功率转换效率,展现出94.3%的超高膜厚耐受性,创造了有机太阳电池领域的最高膜厚耐受性纪录。该策略的普适性进一步在D18-Cl:L8-BO体系(100 nm / 300 nm厚度:20.45%/19.70%功率转换效率)和D18:L8-BO体系(100 nm / 300 nm厚度:20.41%/19.62%功率转换效率)得到验证,其膜厚耐受性均超越现有的顶级有机太阳电池。此项工作为解决工业级有机太阳电池制造中光子捕获与电荷提取的核心矛盾提供了普适性设计原则,为有机太阳电池实现商业化“卷对卷”印刷生产奠定了理论与实验基础,具有重要的科学意义和应用前景。

1  MnPS3纳米片分子结构及其作用下有机太阳电池的光伏性能-膜厚依赖曲线

2. MnPS3纳米片作用下有机太阳电池的激子扩散长度以及电荷传输动力学

本研究由国家自然科学基金、湖南省自然科学基金以及南华大学博士启动基金的联合资助。

论文连接:http://doi.org/10.1002/adma.202513125

 

上一条:南华大学毕磊团队在Energy&Environmental Science发表封面论文:通过高熵设计提升质子导体固体氧化物燃料电池阴极性能

下一条:南华大学杨健团队在Nature子刊发表重要研究成果

关闭

Copyright © 2020 南华大学 科研与学科建设部/人文社科办/军工质量办/高等教育研究所  版权所有.          地址:衡阳市常胜西路28号         邮编:421001